The boring spindle is one of the core components of a CNC boring and milling machine.
Since the spindle’s operational condition directly impacts the machine tool’s performance and the machining quality of parts, manufacturers must enforce stringent dimensional and geometric tolerances on the spindle.
Typically, the length-to-diameter ratio of a boring spindle can reach approximately 20, making it a classic example of a slender shaft workpiece.
Combined with its weight of several hundred kilograms, this further increases the technical difficulty of processes such as clamping, alignment, and deformation control during machining.
The typical machining process for boring shafts is: blanking → rough turning → quenching and tempering → semi-finish turning → semi-finish grinding → nitriding → nitrided layer turning → slot milling and thread drilling → deep hole drilling → semi-finish grinding → finish grinding → lapping.
Taking a φ130mm boring shaft as an example, this paper analyzes and discusses the forces and deformation of the workpiece during the critical semi-finish grinding process.
Structural Dimensions and Machining Requirements for Bore Shaft
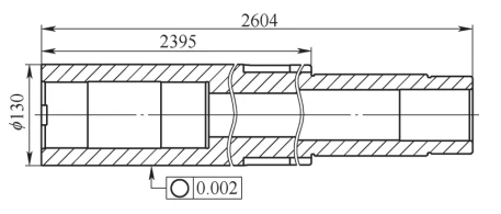
Figure 1 shows the structural dimensions of the φ130 mm bore shaft.
With a total length of 2604mm, maximum outer diameter of 130mm, length-to-diameter ratio of 20, and self-weight of 198kg, the finished product requires a roundness tolerance of ≤0.002mm.
The precision machining process must ensure roundness ≤0.004mm.
In this precision grinding process, operators grind the workpiece’s outer diameter from φ130.1 mm to φ130 mm using a CNC cylindrical grinding machine.

Workpiece Force and Deformation Analysis
During precision grinding of the boring shaft’s outer diameter, operators typically use a two-center-point clamping method with a center support.
The two center points locate the workpiece and bear its weight, while the center support assists in supporting the workpiece and limiting deformation.
The two primary forces causing workpiece deformation are the shaft’s own weight and the compressive cutting force from the grinding wheel.
Operators cannot eliminate these forces; they can only control and counteract them.
Although the clamping force from the centers and the supporting force from the center frame appear as actively applied, necessary forces, they are also stress factors causing workpiece deformation.
The magnitude of these forces significantly affects grinding accuracy and operators must not overlook them.
The stress distribution on the workpiece is illustrated in Figure 2.

Figure 2 shows that the forces acting on the workpiece fall into three distinct systems: horizontal axial, horizontal radial, and vertical.
During clamping and machining, operators must carefully control the magnitude of each force.
This ensures that the workpiece’s deformation in each corresponding direction is either canceled out or balanced by the force systems.
This approach guarantees the achievement of the ultimate grinding precision target.
The following sections will separately elaborate on the effects of these three force systems on workpiece deformation and the corresponding control methods.
Horizontal Axial Force Deformation and Control
Along the horizontal axial direction, the machine tool’s hydraulically driven tailstock center extends forward to press against the workpiece and maintain a stable pressure.
This pressure must be sufficiently high to ensure tight and stable contact between the two centers and the center holes in the workpiece, which is a prerequisite for grinding accuracy.
Operators must avoid applying excessive pressure, as it can damage the centers and center holes and also distort the workpiece.
This distortion results in localized cross-hatch marks and twist (see Figure 3) on the ground surface, leading to poor cylindricity.

The relationship between center pressure and workpiece self-weight is shown in Figure 4.
Center pressure F (typically measured in kg for convenience) is an empirical value.
It is generally determined based on the workpiece mass W (in kg) and then fine-tuned during machining based on a comprehensive evaluation of grinding results.
Operators can reference the initial center pressure settings in Table 1.
For example, when grinding a φ130 mm boring shaft weighing 198 kg, operators select an initial center pressure of 139 kg and set the machine tool center drive pressure to 1 MPa.
During grinding, operators observed poor roundness on the workpiece end face, along with a drop in center pressure.
This indicated insufficient initial pressure.
After adjusting the pressure setting to 1.1 MPa, the aforementioned anomalies were eliminated, and no surface defects as shown in Figure 3 occurred.


Horizontal Radial Force Deformation and Control
During machining, the workpiece experiences horizontal radial pressure from the grinding wheel, with variable force points that are difficult to compensate.
To prevent deflection, operators must use a two-point center support to provide horizontal auxiliary support and increase the workpiece’s rigidity.
For precision grinding, adjust the center support to push the workpiece forward by an appropriate distance (see the later section for details).
Grinding wheel pressure and workpiece deformation occur concurrently. Operators must pay special attention when selecting the grinding wheel’s feed path.
Operators must perform feed and retract movements in the diameter direction (see Figure 5). Operators must never perform feed and retract movements in the axial direction, as this will cause end overcutting (see Figure 6).


Vertical Directional Force-Induced Deformation and Control
First, the primary force-induced deformation factor in the vertical direction is gravity.
To determine the extent of gravitational deformation in a φ130 mm boring shaft under two-end clamping conditions (both ends externally aligned, side generatrix straightened, center support unmounted), engineers conducted the following tests.
Engineers summarized the measurement results from these tests as follows.
1. With the workpiece stationary, operators attached the magnetic base of the lever dial indicator to the grinding wheel headstock.
Operators pressed the indicator needle against the workpiece’s generatrix.
By moving the grinding wheel headstock via the machine tool, the needle slid axially along the workpiece.
Changes in the dial indicator reading during this process reflected vertical deformation.
The measured concavity (i.e., sag) was 0.12 mm.
2. After rotating the workpiece to any angle, repeating Step 1 while stationary yields sag measurement variations <0.01 mm.
3. While rotating the workpiece at 25 rpm, measure the radial runout at the center and several other positions using lever dial indicators.
The variation in readings (i.e., radial runout) at all locations was <0.01 mm, consistent with the actual roundness of the workpiece at corresponding positions.
> Dynamic Stability of Gravitational Sag
From the above data, it can be seen that the gravitational deformation of the workpiece is “dynamically stable.”
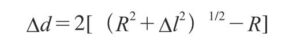
The formula for calculating the difference in diameter between the center and the ends of the workpiece after grinding is:
-1-300x48.jpg)
In the formula, Δd is the difference in diameter between the center and end of the workpiece after grinding (mm);
R is the outer radius of the workpiece (mm); Δl is the sag at the center of the workpiece (mm).
Substituting R=65mm and Δl=0.12mm yields Δd=0.00022mm.
This indicates that the diameter obtained by grinding the workpiece’s mid-section outer circumference with the same grinding wheel feed rate is only 0.00022mm larger in the sagging state compared to the non-sagging state.
Moreover, since grinding is a compressive cutting process, this difference is entirely negligible.
> Cutting Force as a Deformation Factor
Secondly, another factor causing deformation in the vertical direction is the cutting force exerted by the grinding wheel.
Its magnitude depends on numerous factors, including the wheel material, model, grinding parameters, workpiece material and hardness, as well as the lubrication provided by the cutting fluid.
The primary negative impact of cutting force is its tendency to cause tool chatter, resulting in poor grinding accuracy and surface roughness.
Furthermore, the point of force application continuously shifts during machining, making compensation challenging.
> Enhancing Workpiece Rigidity
Therefore, operators can control the magnitude of the cutting force by setting appropriate cutting parameters.
At the same time, the workpiece must have sufficient machining rigidity to maintain processing efficiency.
Operators use two conventional methods to enhance workpiece rigidity with a two-point center support.
The first method involves lifting the workpiece midpoint to the upper generatrix level or even creating a central bulge before precision grinding.
During machining, the workpiece’s outer diameter gradually shrinks, weakening the center support’s holding force.
This instability compromises workpiece rigidity and makes it difficult to ensure grinding accuracy.
The second method involves first grinding the diameter at the center support position smaller, without applying support.
Operators then use the center support to lift the workpiece to the level of the upper generatrix before performing precision grinding.
While this maintains stable support force, the pre-ground support circle becomes non-concentric with the rest of the workpiece, making it difficult to achieve a flush finish.
> Challenges in Support Methods and Resulting Flaws
Testing revealed a common flaw in both support methods: uneven outer diameter after precision grinding.
The keyway-free section between the headstock center and center support exhibited localized diameter increases of approximately 0.005mm with poor roundness.
Meanwhile, the keyway-equipped section between the center support and tailstock center showed widely spaced transverse scratches on the outer surface.
The root cause lies in the center’s excessive support force combined with its small contact area.
This causes unstable comprehensive force deformation during workpiece rotation, resulting in distortion and vibration.
Finishing Grinding Methods and Parameters
Repeated testing has shown that, to achieve optimal precision, operators must ensure the center support consistently bears the workpiece throughout the grinding process to counteract cutting forces.
Additionally, operators should minimize the support force from the center to reduce the impact of natural deformation caused by the workpiece’s weight.
Finishing the Grinding Process Step
Based on these findings, operators divide the finishing grinding process into the following steps:
1. Grind the central support position of the workpiece to φ130.03mm without support.
2. Adjust the vertical support of the center to lift the workpiece upward by no more than 0.002mm (measured using a lever dial indicator).
3. Adjust the horizontal support of the center to push the workpiece forward by no more than 0.002mm.
4. Grind the entire outer diameter to φ130.028–φ130.030 mm (grinding wheel transverse feed rate: 600 mm/min).
After grinding 0.02 mm, stop to measure the full-length diameter and inspect the workpiece surface quality.
5. Fully loosen both center support brackets. With the workpiece idling, adjust the brackets to elevate the workpiece 0.003mm upward and advance it 0.003mm forward.
6. Grind away 0.005mm from the full-length outer diameter (grinding wheel feed rate: 240mm/min; perform 2-3 finishing passes).
7. Repeat steps 5 and 6 until dimensions meet design requirements.
After finishing grinding, the workpiece’s outer diameter roundness is only 0.004mm at several positions within the keyway section, with all other positions ≤0.002mm.
Surface roughness Ra = 0.18–0.20μm.
By following this relatively simple subsequent grinding process, operators can achieve an overall roundness of <0.002 mm and a surface roughness Ra of 0.08–0.10 μm.
Concluding Remarks
Due to the substantial self-weight of the boring bar, its gravitational deformation achieves “dynamic stability” at relatively low rotational speeds.
Therefore, a critical aspect of the precision grinding process is to minimize external force influences and maintain the stability of its natural gravitational deformation, rather than counteracting it.
The resulting methods for adjusting the center support, determining center pressure, and setting grinding parameters represent valuable insights gained through extensive, meticulous experimentation and analysis.a
FAQ
Why is the boring spindle critical for CNC boring and milling machines?
The boring spindle is a core component of CNC boring and milling machines.
Its operational condition directly affects both the machine tool’s performance and the machining quality of parts.
Stringent dimensional and geometric tolerances are required to ensure precision and reliability in machining operations.
What challenges arise from the boring spindle’s dimensions and weight during machining?
Boring spindles often have high length-to-diameter ratios, sometimes reaching 20:1, making them slender shaft workpieces.
Combined with weights of several hundred kilograms, this increases the difficulty of clamping, alignment, and deformation control.
These factors demand specialized machining strategies to maintain accuracy and surface quality.
How are forces and deformations managed during precision grinding?
The primary forces affecting the spindle include its own weight and the compressive cutting force from the grinding wheel.
Horizontal axial, horizontal radial, and vertical force systems are carefully balanced.
Clamping forces and center supports are adjusted to cancel or control deformation, ensuring high roundness and cylindricity.
What methods are used to control horizontal axial and radial deformation?
Horizontal axial deformation is managed by setting the proper center pressure at the tailstock, preventing twist or cross-hatch marks.
Excessive pressure is avoided to reduce distortion.
Horizontal radial deformation is controlled using two-point center supports and careful feed paths in the diameter direction.
Axial feed is minimized to prevent end overcutting.
How is vertical deformation caused by gravity and cutting forces minimized?
The gravitational deformation of the boring spindle is dynamically stable at low rotational speeds.
Center support adjustments lift or push the workpiece by precise amounts (≤0.002–0.003 mm) during finishing passes.
Cutting parameters are carefully set to reduce tool chatter and maintain machining rigidity, ensuring consistent outer diameter roundness.
What are the key outcomes of the precision grinding process for a φ130 mm boring shaft?
By applying controlled center support, proper center pressure, and optimized grinding parameters, roundness of ≤0.002 mm is achieved at several positions.
Surface roughness reaches Ra 0.08–0.10 μm, with keyway sections slightly higher at Ra 0.18–0.20 μm.
This process maintains the natural gravitational deformation of the spindle while minimizing external force influences, resulting in highly precise and stable finished workpieces.



